#include <OggDemuxedTrack.hh>
Definition at line 30 of file OggDemuxedTrack.hh.
◆ afterGettingFunc
◆ onCloseFunc
| typedef void() FramedSource::onCloseFunc(void *clientData) |
|
inherited |
◆ OggDemuxedTrack()
◆ ~OggDemuxedTrack()
| virtual OggDemuxedTrack::~OggDemuxedTrack |
( |
| ) |
|
|
privatevirtual |
◆ afterGetting()
| static void FramedSource::afterGetting |
( |
FramedSource * |
source | ) |
|
|
staticinherited |
◆ close() [1/2]
| static void Medium::close |
( |
Medium * |
medium | ) |
|
|
staticinherited |
◆ close() [2/2]
◆ doGetNextFrame()
| virtual void OggDemuxedTrack::doGetNextFrame |
( |
| ) |
|
|
privatevirtual |
◆ doStopGettingFrames()
| virtual void FramedSource::doStopGettingFrames |
( |
| ) |
|
|
protectedvirtualinherited |
Reimplemented in BasicUDPSource, ByteStreamFileSource, FramedFilter, MPEG1or2DemuxedElementaryStream, MPEG2TransportStreamFramer, MPEG2TransportStreamFromESSource, MPEG2TransportStreamFromPESSource, MPEG2TransportStreamTrickModeFilter, MPEGVideoStreamFramer, MultiFramedRTPSource, T140IdleFilter, WAVAudioFileSource, and MatroskaDemuxedTrack.
◆ durationInMicroseconds()
| unsigned & OggDemuxedTrack::durationInMicroseconds |
( |
| ) |
|
|
inlineprivate |
◆ envir()
◆ frameSize()
| unsigned & OggDemuxedTrack::frameSize |
( |
| ) |
|
|
inlineprivate |
◆ getAttributes()
| virtual void MediaSource::getAttributes |
( |
| ) |
const |
|
virtualinherited |
◆ getNextFrame()
| void FramedSource::getNextFrame |
( |
unsigned char * |
to, |
|
|
unsigned |
maxSize, |
|
|
afterGettingFunc * |
afterGettingFunc, |
|
|
void * |
afterGettingClientData, |
|
|
onCloseFunc * |
onCloseFunc, |
|
|
void * |
onCloseClientData |
|
) |
| |
|
inherited |
◆ handleClosure() [1/2]
| void FramedSource::handleClosure |
( |
| ) |
|
|
inherited |
◆ handleClosure() [2/2]
| static void FramedSource::handleClosure |
( |
void * |
clientData | ) |
|
|
staticinherited |
◆ isAMRAudioSource()
| virtual Boolean MediaSource::isAMRAudioSource |
( |
| ) |
const |
|
virtualinherited |
◆ isCurrentlyAwaitingData()
| Boolean FramedSource::isCurrentlyAwaitingData |
( |
| ) |
const |
|
inlineinherited |
◆ isDVVideoStreamFramer()
| virtual Boolean MediaSource::isDVVideoStreamFramer |
( |
| ) |
const |
|
virtualinherited |
◆ isFramedSource()
| virtual Boolean FramedSource::isFramedSource |
( |
| ) |
const |
|
privatevirtualinherited |
◆ isH264VideoStreamFramer()
| virtual Boolean MediaSource::isH264VideoStreamFramer |
( |
| ) |
const |
|
virtualinherited |
◆ isH265VideoStreamFramer()
| virtual Boolean MediaSource::isH265VideoStreamFramer |
( |
| ) |
const |
|
virtualinherited |
◆ isJPEGVideoSource()
| virtual Boolean MediaSource::isJPEGVideoSource |
( |
| ) |
const |
|
virtualinherited |
◆ isMediaSession()
| virtual Boolean Medium::isMediaSession |
( |
| ) |
const |
|
virtualinherited |
◆ isMPEG1or2VideoStreamFramer()
| virtual Boolean MediaSource::isMPEG1or2VideoStreamFramer |
( |
| ) |
const |
|
virtualinherited |
◆ isMPEG2TransportStreamMultiplexor()
| virtual Boolean MediaSource::isMPEG2TransportStreamMultiplexor |
( |
| ) |
const |
|
virtualinherited |
◆ isMPEG4VideoStreamFramer()
| virtual Boolean MediaSource::isMPEG4VideoStreamFramer |
( |
| ) |
const |
|
virtualinherited |
◆ isRTCPInstance()
| virtual Boolean Medium::isRTCPInstance |
( |
| ) |
const |
|
virtualinherited |
◆ isRTPSource()
| virtual Boolean MediaSource::isRTPSource |
( |
| ) |
const |
|
virtualinherited |
◆ isRTSPClient()
| virtual Boolean Medium::isRTSPClient |
( |
| ) |
const |
|
virtualinherited |
◆ isRTSPServer()
| virtual Boolean Medium::isRTSPServer |
( |
| ) |
const |
|
virtualinherited |
◆ isServerMediaSession()
| virtual Boolean Medium::isServerMediaSession |
( |
| ) |
const |
|
virtualinherited |
◆ isSink()
| virtual Boolean Medium::isSink |
( |
| ) |
const |
|
virtualinherited |
◆ isSource()
| virtual Boolean MediaSource::isSource |
( |
| ) |
const |
|
privatevirtualinherited |
◆ lookupByName() [1/3]
◆ lookupByName() [2/3]
◆ lookupByName() [3/3]
◆ maxFrameSize()
| virtual unsigned FramedSource::maxFrameSize |
( |
| ) |
const |
|
virtualinherited |
◆ maxSize()
| unsigned & OggDemuxedTrack::maxSize |
( |
| ) |
|
|
inlineprivate |
◆ MIMEtype()
| virtual char const * OggDemuxedTrack::MIMEtype |
( |
| ) |
const |
|
privatevirtual |
◆ name()
| char const * Medium::name |
( |
| ) |
const |
|
inlineinherited |
◆ nextPresentationTime()
| struct timeval & OggDemuxedTrack::nextPresentationTime |
( |
| ) |
|
|
inlineprivate |
◆ nextTask()
◆ numTruncatedBytes()
| unsigned & OggDemuxedTrack::numTruncatedBytes |
( |
| ) |
|
|
inlineprivate |
◆ presentationTime()
| struct timeval & OggDemuxedTrack::presentationTime |
( |
| ) |
|
|
inlineprivate |
◆ stopGettingFrames()
| void FramedSource::stopGettingFrames |
( |
| ) |
|
|
inherited |
◆ to()
| unsigned char *& OggDemuxedTrack::to |
( |
| ) |
|
|
inlineprivate |
◆ OggDemux
◆ OggFileParser
◆ fAfterGettingClientData
| void* FramedSource::fAfterGettingClientData |
|
privateinherited |
◆ fAfterGettingFunc
◆ fCurrentPageIsContinuation
| Boolean OggDemuxedTrack::fCurrentPageIsContinuation |
|
private |
◆ fDurationInMicroseconds
| unsigned FramedSource::fDurationInMicroseconds |
|
protectedinherited |
◆ fEnviron
◆ fFrameSize
| unsigned FramedSource::fFrameSize |
|
protectedinherited |
◆ fIsCurrentlyAwaitingData
| Boolean FramedSource::fIsCurrentlyAwaitingData |
|
privateinherited |
◆ fMaxSize
| unsigned FramedSource::fMaxSize |
|
protectedinherited |
◆ fMediumName
◆ fNextPresentationTime
| struct timeval OggDemuxedTrack::fNextPresentationTime |
|
private |
◆ fNextTask
◆ fNumTruncatedBytes
| unsigned FramedSource::fNumTruncatedBytes |
|
protectedinherited |
◆ fOnCloseClientData
| void* FramedSource::fOnCloseClientData |
|
privateinherited |
◆ fOnCloseFunc
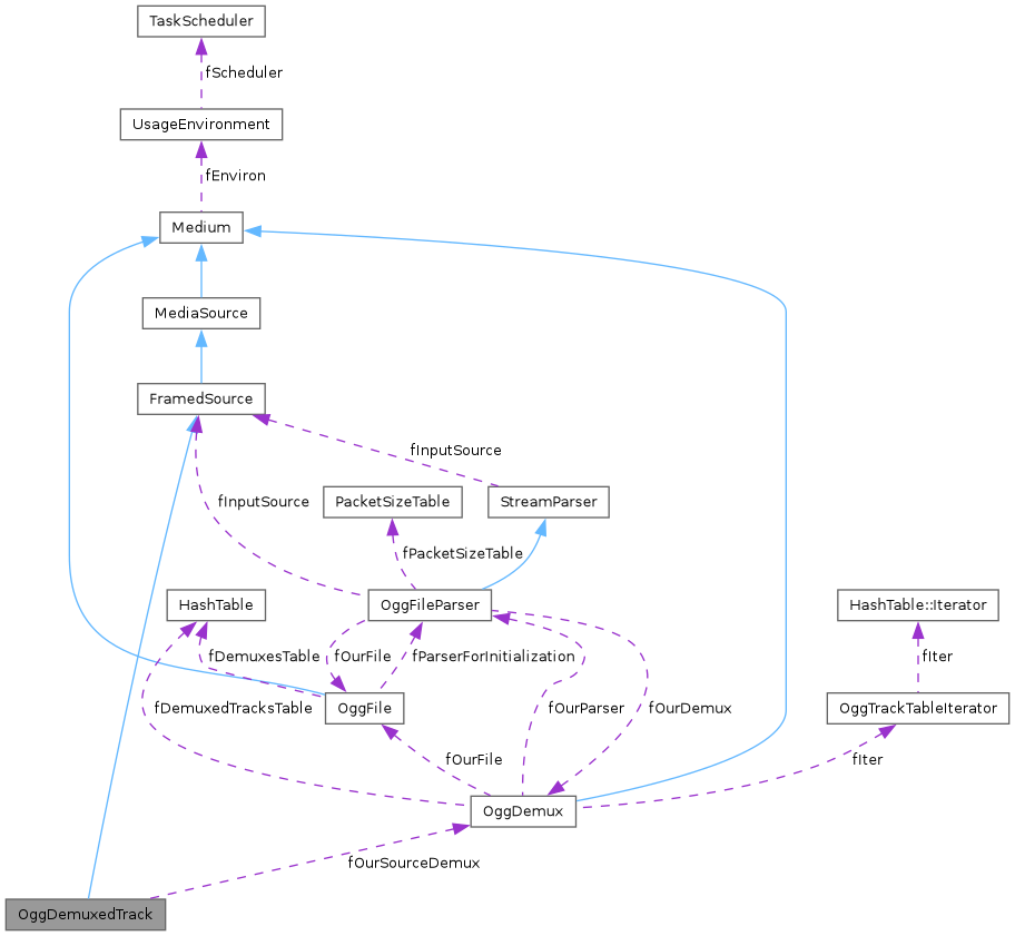
◆ fOurSourceDemux
| OggDemux& OggDemuxedTrack::fOurSourceDemux |
|
private |
◆ fOurTrackNumber
| unsigned OggDemuxedTrack::fOurTrackNumber |
|
private |
◆ fPresentationTime
| struct timeval FramedSource::fPresentationTime |
|
protectedinherited |
◆ fTo
| unsigned char* FramedSource::fTo |
|
protectedinherited |
The documentation for this class was generated from the following file: